Квантова оптика (Лаб).
Мета: розв’язання задач з квантової оптики.
Студент повинен знати та вміти: основні поняття квантової оптики, явище фотоефекту, тиск світла на перешкоду, вміти розв’язувати задачі згідно розглядуваної теми.
Задача № 1
Виразити енергію кванта через його масу та імпульс.
Розв’язання. Маса та імпульс кванта світла відповідно дорівнюють:
і
alt="Квантова оптика (Лаб). Мета: розв’язання... - Частина 1" class="" />. З формули імпульсу кванта знаходимо
, підставляючи його значення в формулу для маси кванта, одержимо вираз для маси
, звідки
– енергія кванта.
Відповідь: енергія кванта
.
Задача № 2
Яку довжину хвилі мати
– квант, щоб його енергія досягла одного джоуля? У скільки разів його маса перевищуватиме масу спокою протона?
Розв’язання. Енергія кванта
звідки знаходимо довжину хвилі кванта,
, де
Дж. с – стала Планка,
=3.108 м/с – швидкість світла у вакуумі. Підстановка значень величин дає результат:
( м ). Спираючись на формулу Ейнштейна
, обчислимо масу такого фотона (кванта)
і знайдемо відношення до маси протона, взятої з таблиць
Кг:

=
.
Відповідь: довжина хвилі
– кванта
м, маса
– кванта перевищує масу протона у 
разів.
Задача № 3
ККД 100- ватної лампочки розжарення у видимій області близький до 3 %. Зробить оцінку кількості фотонів видимого світла з середньою довжиною хвилі 500 нм, які вона випромінює: 1) на протязі секунди; 2) одночасно.
Розв’язання. Енергія одного фотона
. Кількість фотонів за секунду з урахуванням ККД становить
і враховуючи енергію одного кванта, будемо мати
,
Дж. с – стала Планка,
=3.108 м/с – швидкість світла у вакуумі. . Підставимо чисельні значення величин:
=
фотонів/с. Тривалість випромінювання одного фотона близько
( у діапазоні видимого світла), тому одночасно народжується біля
фотонів.
Відповідь: 1) на протязі секунди лампа випромінює 
фотонів; 2) одночасно – 
фотонів.
Задача № 4
Рентгенівська трубка, яка працює під напругою
= 66 кВ при силі струму
+ 15 мА, випромінює щосекунди
фотонів. Вважаючи довжину хвилі випромінювання рівною
М, визначити ККД установки.
Розв’язання. Енергія, яку щосекунди випромінює трубка, дорівнює енергії фотонів, які вилетіли:
, де
– число фотонів,
– енергія одного фотона, тому
.
Споживана лампою потужність
. Отже, ККД установки
, де
Дж. с – стала Планка,
=3.108 м/с – швидкість світла у вакуумі.
Підставимо значення і знайдемо :
= 0,02= 2%.
Відповідь: ККД установки
= 0,02= 2%.
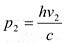
Задача № 5
Визначте співвідношення модулів імпульсів
і
фотонів, які відповідають електромагнітному промінню з частотами
Гц і
Гц.
Розв’язання. Модуль імпульсу кожного фотона визначимо за формулою:
і
.
Визначимо співвідношення модулів імпульсів
і
:
,
, звідки
.
Відповідь: співвідношення модулів імпульсів фотонів
.
Задача № 1
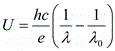
Червона границя фотоефекта рубідію
= 810 нм. Яку затримуючу різницю потенціалів потрібно прикласти до фотоелемента, щоб затримати електрони, випромінюванні рубідієм під дією ультрафіолетових променів довжиною хвилі
= 100 нм?
Розв’язання. Енергія кванта ультрафіолетових променів витрачається на роботу виходу електрона з металу
(
, яку можна визначити за червоною границею фотоефекту, та на кінетичну енергію, що її дістає електрон. Робота
, яку необхідно витратити, щоб затримати електрони, які вилетіли з катода, дорівнює їх кінетичній енергії, тобто
. На підставі сказаного, маємо
,
Де
– шукана напруга. Розв’язуючи одержане рівняння відносно
і виражаючи частоту
через швидкість світла
Та довжину хвилі
(
), знаходимо
, ( 1 )
Де
Кл – заряд електрона,
Дж. с – стала Планка,
=3.108 м/с – швидкість світла у вакуумі. Підставимо числові значення в рівняння ( 1 ) і одержимо
= 10,8 В.
Відповідь:
= 10,8 В.
ЛАБОРАТОРНО-ПРАКТИЧНІ ЗАНЯТТЯ З ФІЗИКИ
Заняття 36.
Тема: Атом. Ядро атома та радіоактивність.
Мета: розв’язання задач з фізики атома та ядра.
Студент повинен знати та вміти: основні поняття щодо будови атома та атомного ядра, існування явища радіоактивного розпаду ядер, закон радіоактивного розпаду, ядерні реакції, вміти розв’язувати задачі згідно розглядуваної теми.
Задача № 1
Визначити енергію електрона в атомі водню в його основному стані, а також обчислити потенціал іонізації атома.
Розв’язання. Повна енергія електрона в атомі водню виражається формулою
, де
– стала Рідберга;
Дж. с – стала Планка;
М/с – швидкість світла;
– порядковий номер елемента в періодичній системі елементів Менделєєва;
– ціле число (
=1, 2, 3, 4, …).
Читати далі